安徽省第十五届书法新人新作展|作品赏析(五)
浏览次数:次|
发布时间:2021-05-03

由省书协主办,滁州市文联承办的安徽省第十五届书法新人新作展已于4月18日在滁州美术馆开幕。
本届展览作品涵盖了篆、隶、楷、行、草等各种书体和篆刻、刻字艺术,兼顾了各种流派的书风,创作手法灵活生动,表现形式丰富多彩,书写内容贴近时代,从不同的角度展现了书法新人精神面貌和创作水平。虽然有些作品还略显稚嫩,但却表现出传承有序、下笔有由、创新有度的正确学术之路和较强的发展后劲。
现分批推出展出的书法作品以供赏析。
展览将持续至5月5日,欢迎大家前往观展。
(按姓氏笔画排序)

张岩森

张亮亮

张勇建

张莉莉

张琼

张琬琪

张翔宇

张蕊

陈华涛

陈安源

周萍

郑永祥

胡义保

胡红

胡磊

侯思碧

姜天恬

祝莉平

贺成龙
桂千千

夏芳

钱小洪

钱东强

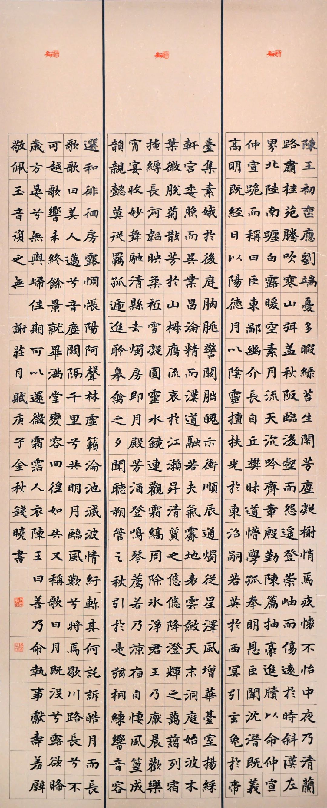
钱晓

凌婷婷

郭鹏

陶谨慎

黄世喆

黄德金

崔亚波

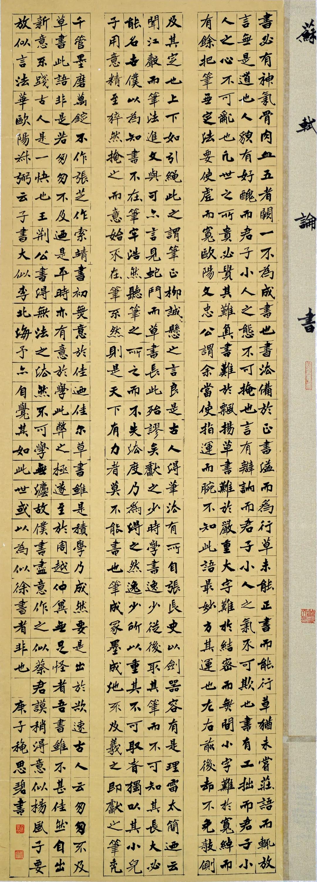
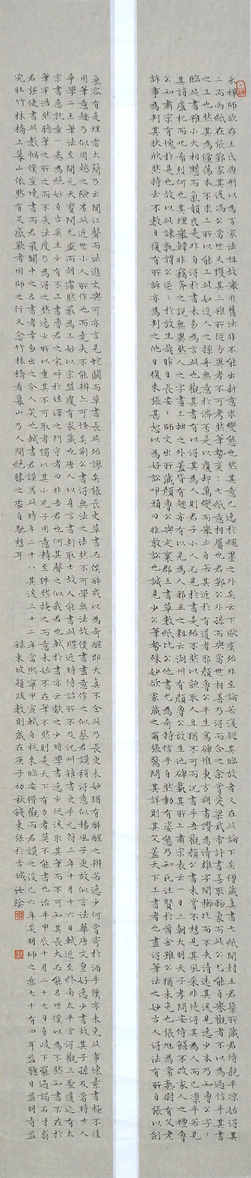
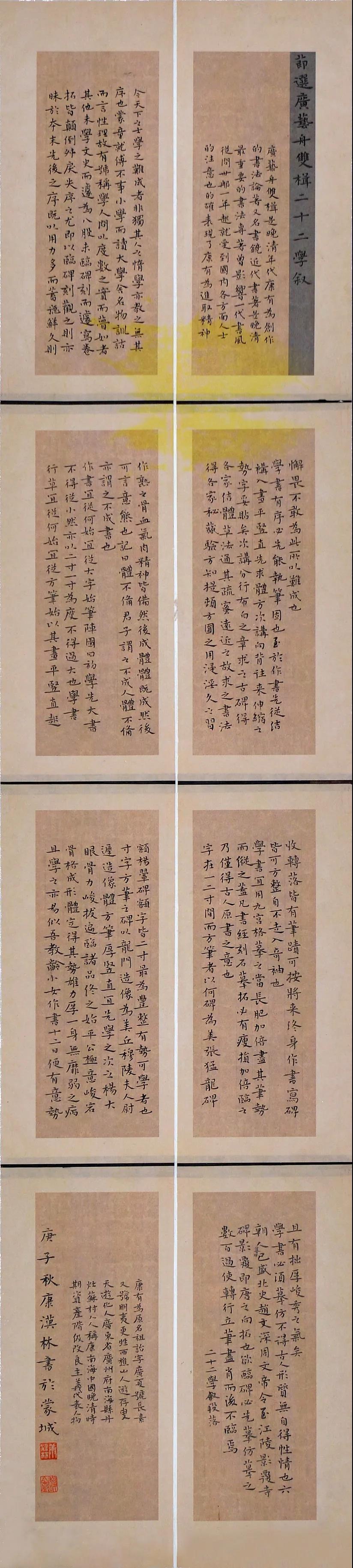
康汉林

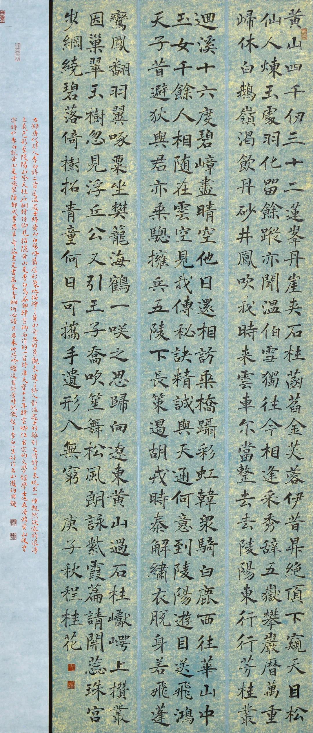
程桂花

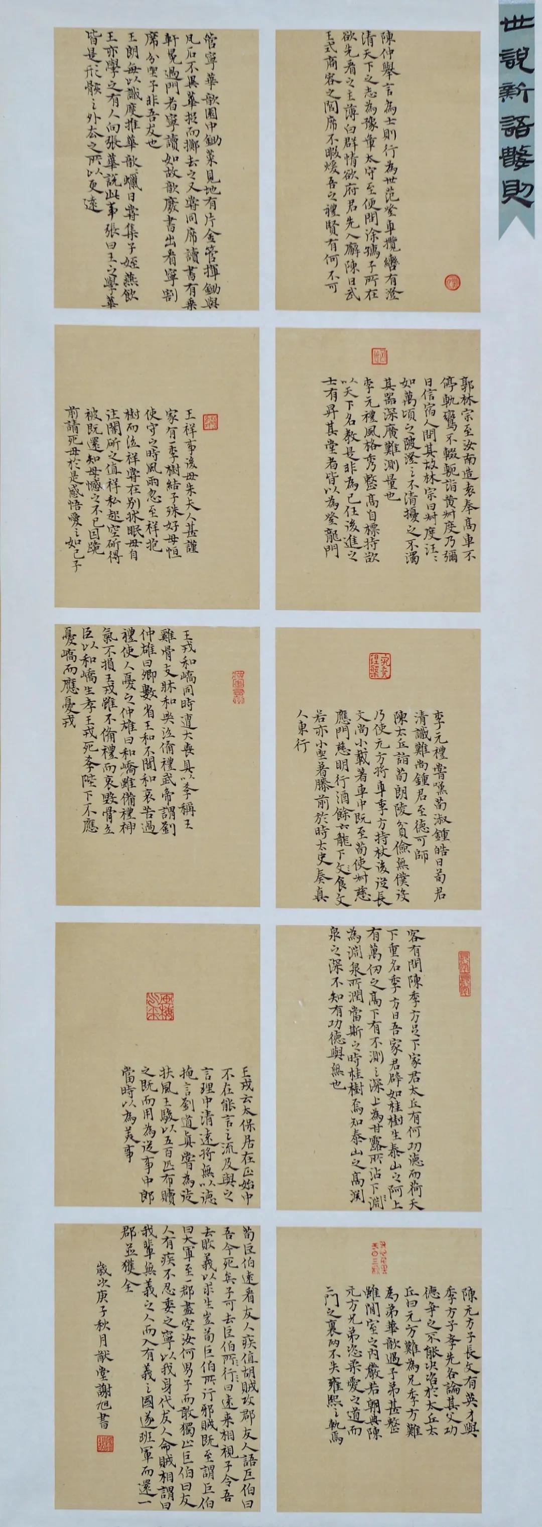
谢旭

潘玫

戴小兵

魏永明

办公室电话:0551-62680157
展览部电话:0551-62886842
地址:安徽省合肥市芜湖路168号同济大厦6楼610室