全国第十二届书法篆刻展览安徽入展作品赏析(五)

全国第十二届书法篆刻展
安徽省入展作者名单
篆书3人: 范振海 张伟 朱子豪
隶书5人: 杜鹏飞 刘怀杰 马端兵 徐之善 周 联
楷书12人: 晁亚洲 程正德 丁文你 葛良胜 洪雪青 胡永东 贾同宇 李 鼎 王泽源 吴健宁 姚金中 张友喜
行书12人: 葛良胜 侯仁明 贾佑宏 梁景堂 马宗禹 田 磊 汪荣胜 王利民 吴 飞 宣 然 周 鑫 朱子玉
草书8人: 黄 奇 蒋如奎 路思良 薛晓东 俞来春 岳世清 赵广曙 周 鑫
篆刻3人: 顾可仑 刘 斌 彭军见
刻字3人: 杨 璐 殷多云 朱保华
入展作品赏析(五)







创作感悟:
从三月下旬看到征稿启示始,一系列的问题围绕着我,经过慎重考虑,决定创作一幅中楷,内容选择屈原《离骚》。为避免形式单调,我选择了四条屏,二王的楷书我很喜欢,可那毕竟是小楷,不便中楷表现,于是我用了褚字的笔法来表现二王的结构,可惜的是二王的结构和褚字的笔法我都没能吃透,书写时只能由着自己的感觉,由着自己的性情,创作了这一幅没有打造痕迹的作品。



徐之善,生于安徽蚌埠长淮卫。现为安徽省书法家协会会员,字善之,别署笃古轩,不敏斋,幼承庭训,学习书法。自金文入手,以礼器,张迁,好大王为基础,求厚重朴拙,尚未窥门径。
主要艺术成就:
安徽省书法篆刻大赛入展、安徽省谯城杯书法篆刻大赛入展、安徽省第十四届书法新人新作展入展、安徽省第二届隶书大展入展、安徽省第十三届书法新人新作展入展。





创作感悟:
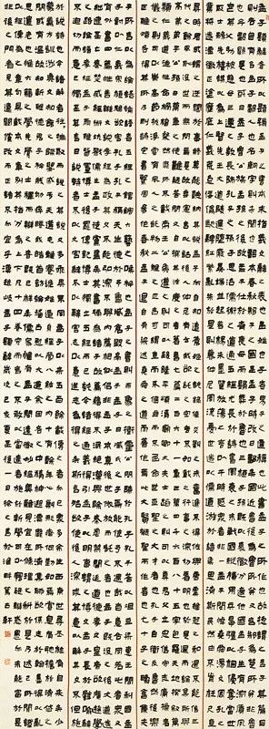
十二届国展征稿的消息我是五月初才知晓的,认真审读了征稿启事后便开始思考着手准备作品。我对这届国展非常重视,正因为如此重视,一开始想法特别多,网上、作品集里也看了很多入展高手的作品,想从中得到一些启发。但是最终,我觉得没有策略才是最好的策略。我决定老老实实写出我平常的书写状态,因为这种状态几乎本能地表达了我对书法的感动和理解。在内容上我选择了东汉赵岐的《孟子题辞》这篇文章,这篇文章内容很好且书法作品采用频率不算高,又是汉代大儒作品,用汉隶表达会非常贴切。由于这篇文章字数比较多,所以形式上我决定采用比较简洁的四条屏处理方式。书体则选择了我最喜欢最熟悉的《好大王碑》、《张迁碑》相结合的风格。字法选择上尽量选择常用的,避免生僻的碑别字。整个创作基调定下来之后,我深深沉浸到创作过程中,书写时力求贴近古帖,自然而书,不做作,不搞怪,求恭谨,求自然。书写的过程还算顺利,用了半个月的时间写了两稿,最后挑选出其中的一稿投展。
秦、汉的书法,是一个巨大的宝库,未来我会继续钻研我喜欢的汉碑、摩崖、汉简,希望能从中挖掘到更多的精神内核。同时放宽眼界,从其他书体上萃取更多养分,从同时代的书艺佼佼者身上获得更多启发,以期能突破自我,取得更大的进步!



王利民,1973年出生于泾县。现为安徽省书法创作研究院研究员,安徽省书法家协会会员,宣城市市直书法家协会副主席兼秘书长,安徽博乐书院副院长。
主要艺术成就:
第六届中国廉政文化书画展、安徽省庆祝改革开放四十周年全国书法大展、庆祝中华人民共和国成立70周年安徽省书画作品联展。





创作感悟:
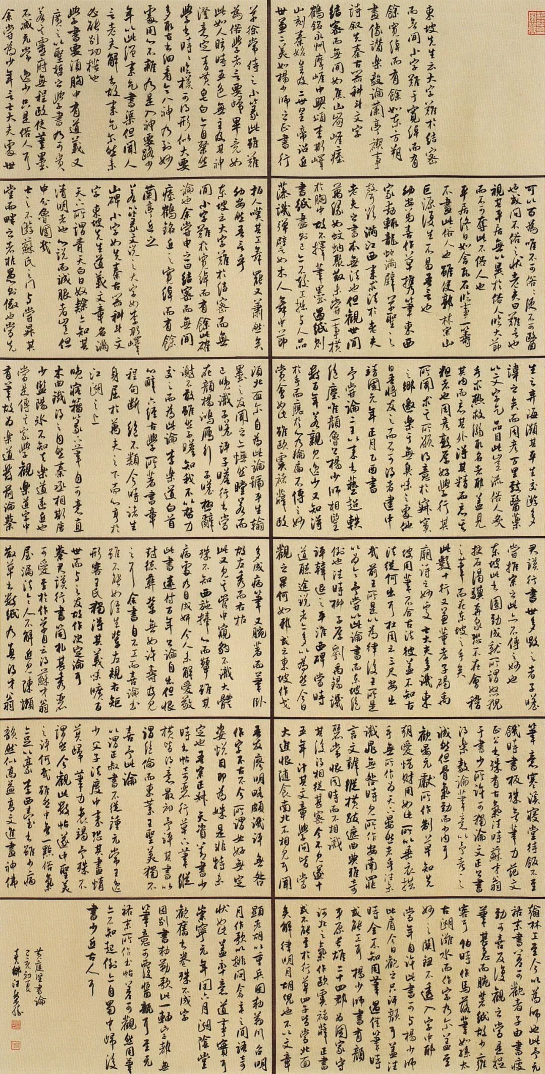
回顾全国十二届书法篆刻展备战过程,有如下几点心得和陋见和大家分享,总结起来,可以归纳为三“心”:一为精心准备。取法是长期的准备,这关乎作品格调,形式是短期的准备,这决定了作品是否符合当今的审美取向。我初习米芾,后上溯二王,本次投稿,选择了小字拼接,从书卷气中找变化,融入了欧阳询的一些笔意,以求继承传统的基础上增加一些自己的想法和变化。二为用心思考。纵览历届国展,投稿者水平高,投稿数量多,如何从几万件作品中脱颖而出,从书法有法的角度来说,章法、墨法、字法、笔法都得细细琢磨,章法和墨法是通过初评的关键,如何让评委老师的目光在你作品上逗留若干时间,章法和墨法的变化是短暂吸引人眼球的最好方法,而字法和笔法是通过复评和终评的关键,如何在复评的角逐中为自己争得一席之地,我选择了字法和笔法的造险,对作品部分内容字的厚度、线条的粗细、和用墨的枯涩进行了局部调整,避免整幅作品因为写的太平淡而被淘汰。三是细心调整,初稿完成后,认真比对,找出缺点和不足,有针对性的进行调整,对局部不符合作品整体气息的地方进行调整,同时对作品文字内容认真校对,避免出现错字、漏子、别字等类型的硬伤,在最后阶段被淘汰出局。很幸运,这次入展了!感谢各位老师和和书友们多年来对我的关心和关注。



朱子玉,1972生于安徽太和县。现为中国书法家会员、安徽省书协行书专业委员会委员、阜阳市书协理事、太和县书协副主席、安徽华源仁济书院专职书法家、被评为“ 安徽省皖军书法百强”、“安徽省最具潜力百名书家”。
主要艺术成就:
全国第十二届书法展入展、首届卫夫人全国书法展获奖、梁巘杯全国书法展三等奖、全国第七届新人新作展优秀奖(最高奖)、“大爱妈祖”全国书法展优秀奖(最高奖)、安徽省第三届书法大展二等奖、纪念邓小平诞辰一百周年全国大型书法展(入展)、首届“王安石奖”全国书法展(入展) 、第二届“四堂杯”全国书法展(入展)、首届“长江杯”全国书法展(入展) 、首届“金山岭长城杯”全国书法展(入展)、首届“赵孟頫奖”全国书法展(入展) 、首届“朝圣敦煌” 全国书法展(入展) 、安徽省首届临帖展(入展) 、新世纪安徽省第二届书法展(入展)、第五届林散之书法作品双年展入展、第一届黄道周全国书法展入展、改革开放四十年安徽书法大展、第五届颜体书法展入展。



创作感悟:
距截稿有两个多月的时间,我先是选好创作内容,思考以何种风格形式表现,然后结合近年所专攻,以颜鲁公为主,略掺东坡子贞笔意,临创结合,会意于心,如此往复。至截稿前一日,邀三五好友牵纸,取江西熊氏狼尾笔,泾县仿绢纸,十几分钟内,一挥而就,墨色浓淡枯湿,线条粗细变化,布局疏密虚实,全凭感觉,作品表现得还算淋漓。



程振德(原名程正德),1965年出生于庐江,现为中国书协会员、中国残疾人书法家联谊会执行委员、安徽省残联美术家协会常务理事、铜陵市书画院画师、铜陵市楷书专业创作委员会主任。
主要艺术成就:
第四届中国书坛新人展、 第三届全国正书大展、邓小平诞辰一百周年全国书法展、 第二届羲之杯全国书法大奖赛、首届全国青年书法篆刻作品展、第二届杏花杯全国电视书法大赛入围奖、 “高恒杯”全国书法艺术大展、第二届中国书法兰亭奖提名奖、纪念傅山诞辰400周年全国书法艺术展、首届全国手卷书法展、第二届全国册页书法作品展、全国第四届扇面书法艺术展、全国第二届手卷书法展、 第四届全国职工书画作品展、 “深入生活、扎根人民”第三届文质廉美优秀基层书法家创作活动、全国第三届册页书法作品展。





为迎战十二届国展,余夜以继日,临池不辍,从历代楷书碑帖中加以整理并汲取精华,自成面目。根据当前楷书风格流变,发现微楷不被看好,处于面临淘汰困境。为走出困境,余专攻中楷,结合个人风格,揣摩古人情致。国展作品必须考虑时代精神气息,在书写内容、形制、章法、颜色等方面要全面构思,遵守国展各种要求,既不拼接,也不作旧,采用较完整的四尺蜡染笺,首次以中楷书写《文心雕龙三则》。新作于截稿前投稿,后得知荣幸入展,感慨万千,欣慰不已:
创作过程,呕心沥血;获此荣誉,来之不易!
忆往昔,余自幼失聪,性孤僻,常以书画自娱。痴爱伏案临池,追求物我两忘之境,亦以此避世俗之尘,视书法为吾生命一部分。







创作感悟:



汪荣胜,生于安徽省池州市东至县。现为安徽省书法家协会会员,字兴达,又名荣渗,署号尧乡舜庐。09年创办桃李书画教育机构。
主要艺术成就:
"安徽首届临创书法展"入展、入展"安徽省敬亭书风"书法作品展、入展"全国屯溪农商行杯"书法大展、14年被评“全国青少年第六届书法大赛”优秀教师。





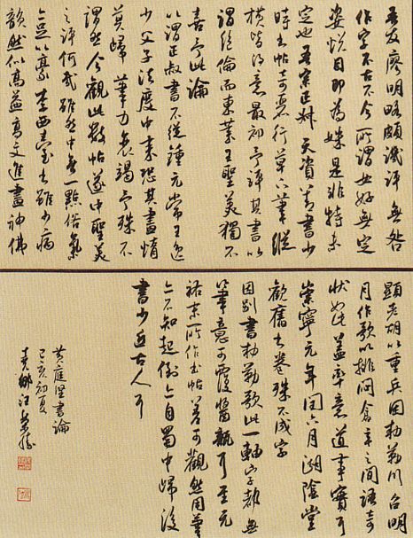
吾自幼喜书,半耕读十余载,不惑之年家境好转逐师从兰亭书家吴前琪先生习书。倚米元章为重,其字体势多变、线条峭拔、节律跌宕,感其风墙阵马、沉着痛快,而魏晋法度自整然。
闻十二届国展讯,颇为心动!因不善词文,故择黄山谷书论抄录。工具选用上乘复古宣、普通兼毫和常规一得阁墨,形式上稍加思考,扬长避短、认真经营。地下室书斋偏僻无人扰,独自纵情快活无限发挥。做到章法上疏与密、意境绵延。因字小而多尽量不夸张、不做作,脱俗自然,竭力表现出书法艺术的书写性与书卷气。



胡永东,1983年2月生于六安。现为安徽省书法家协会会员,六安市书法家协会副秘书长,六安市书协教育委员会委员,六安市书法艺术研究院研究员。
主要艺术成就:
作品入展安徽省首届楷书精品展、安徽省“红星杯”书法大奖赛、安徽省第二届“广玉兰”奖青年书法大赛、安徽省文学艺术联合会“大淮河”采风创作成果书法类二等奖。







办公室电话:0551-62680157
展览部电话:0551-62886842
地址:安徽省合肥市芜湖路168号同济大厦6楼610室